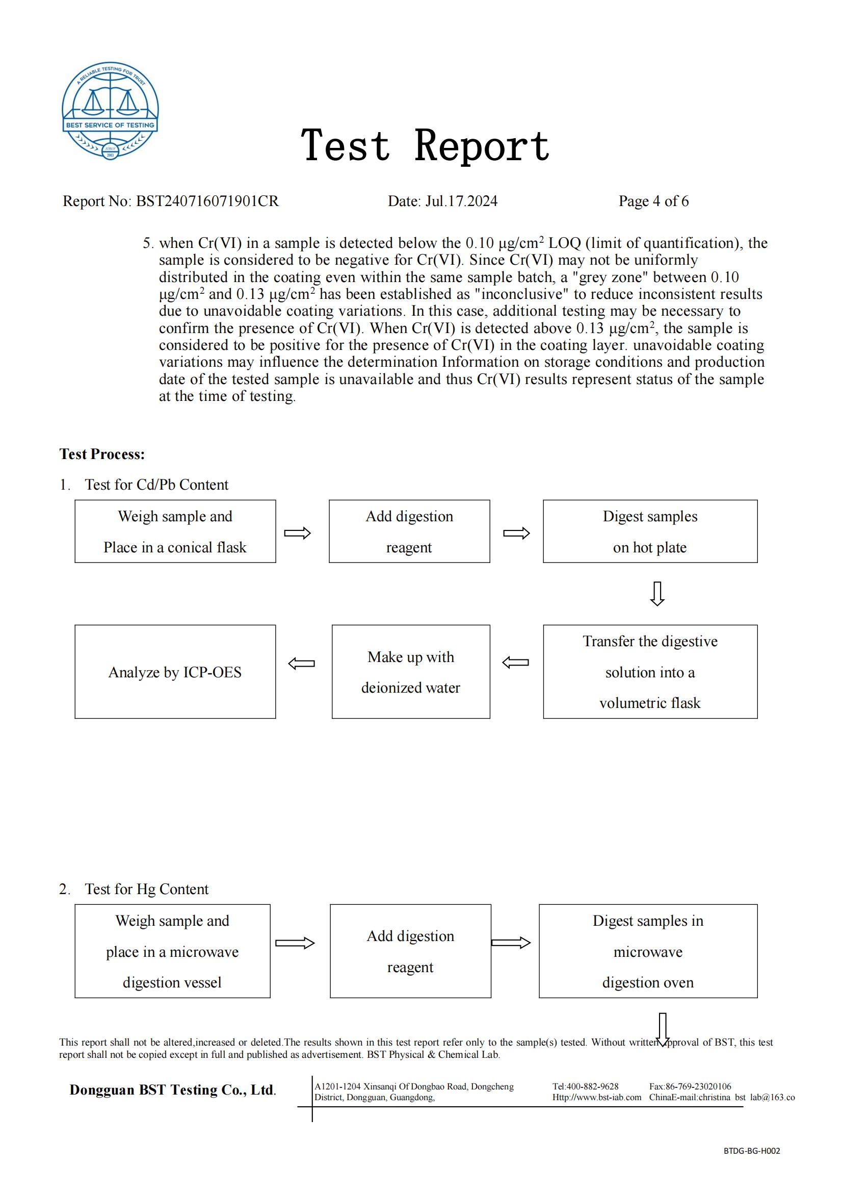
Home
About Us
About
Culture
Honor
Advantages
Products
Top Series
High Power Series
CHIP Series
Holder Series
LAMP Series
Infrared Series
UV Series
Phototransistor
COB LED
Applications
News
COMPANY NEWS
Industry News
Common Problem
Contact Us
CN
/
EN
about us
About
Culture
Honor
Advantages
Home
About Us
Honor
HONOR
上一页
1
2
Home
About Us
About
Culture
Honor
Advantages
Products
Top Series
High Power Series
CHIP Series
Holder Series
LAMP Series
Infrared Series
UV Series
Phototransistor
COB LED
Applications
News
COMPANY NEWS
Industry News
Common Problem
Contact Us